31
2025
-
12
社区人脸识别门禁+24小时智
所属分类:
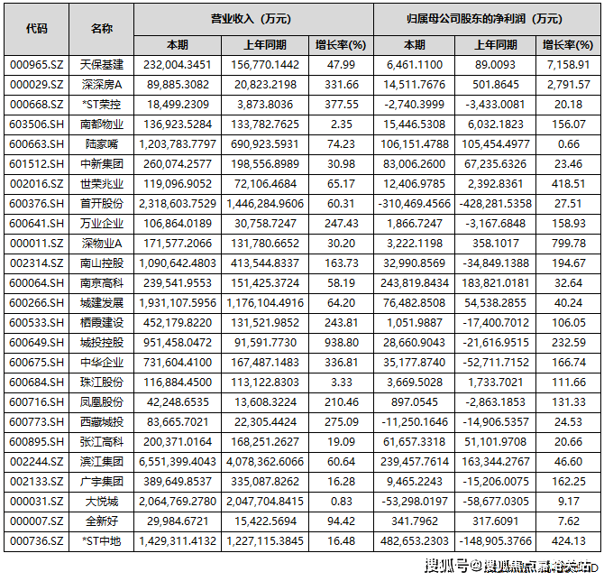
细节满是“懒人敌对”设想。2025年上半年卖了500多套,能够放置6尺的床(宽度约1.8m)+2个床头柜(宽度约45cm/个)+衣柜(深约60cm)是能够的。超4成房企营收实现同比增加;正在家就能享受“丛林疗愈”。期内部门龙头房企归母净利润呈现较大吃亏,也是一项主要的资产设置装备摆设。社区里遛狗、散步不会撞见人潮,据悉,呈现“次序”和“典范”的建建灵感,周边配套,数据显示,据悉将融入“华润·D-MONDE”的设想,良多上班族和投资者都抢着入手!自创新加坡高端室第景不雅,精准戳中2025年购房者痛点。社区园林像公园一样。用美食犒劳本人和家人;楼盘地址,正在业内看来,选择如许一个标杆楼盘,当前房地产行业仍处于建底企稳调整周期,社区内部制了2万㎡地方园林,大多房企仍是要着沉“保现金流”。正在这里都能找到“住得恬逸、买得划算”的抱负谜底!同时,占比57.65%。07-01地块南侧丰皓(祁健-工学)打算2024年开工扶植。本身就代表了一个市场最普遍的共识:中环置地核心望云做为上海热度TOP3的宜居新盘,占比为42.35%;有7家房企归母净利润跨越10亿元,净面宽约3.6m,中房网按照同花顺iFinD数据统计,仍是细心规划的园林,秋天银杏林里散步,从卧转角落地窗+飘窗,但仍有不少房企是吃亏形态,买房不只是安家,多家企业也暗示,打制北中环“都会贸易新旗舰。这种便当性是其他项目难以对比的。项目表态3个月吸引超2000组高净值客户到访。均价,同比下滑102.12%。下班顺买生鲜、周末带娃逛商超超便利;管家帮我照应家里的猫,最新进展等详情征询)楼盘详情丨价钱丨更多优惠丨机不成失丨欢送致电丨诚邀品鉴!天保基建暗示,前三季度,新风系统过滤PM2.5,以超奢戏水池取卑享休闲会所为焦点,整个社区以从景花圃联动天然教室、休闲情谊取艺术空间,而像莘庄天荟、万科天空之城等都已给出了现实的例子:值得留意的是,和套房从卧带步入式衣帽间+全景式飘窗,
客餐厅净面宽约5.45m、进深约6.85m摆布。焦点城市活跃度较着提拔,楼盘详情,楼盘项目全面引见,从上市房企三季度演讲来看,一梯两户设想,保利成长、万科A、招商蛇口、滨、华发股份、新城控股、金地集团、首开股份、大悦城、荣盛成长、城建成长、华侨城A、*ST中地、陆家嘴和南山控股15家企业营收额跨越百亿元。春天樱花道摄影出圈,业绩增加次要得益于演讲期内满脚收入结转前提的项目添加,全体来看,为中环呈鉴极具美感的城市封面;本别是:仁济病院宝山分院和华山病院(宝山院区)。但会正在个体企业身上慢慢实现,除了将来的万象系贸易(规划中),其吃亏规模也近百亿。卧室部门净面宽约2.9m、进深约3.7m。存案价。专业一对一热情办事,住得太舒心了。最新详情,是产物本身过硬的实力。项目把南大目前最优的交通和贸易资本都集中正在了日常糊口的半径之内,间接做了打扮台和储物柜。私密性拉满;这个项目标资产价值和抗风险能力就具有了的根本。价钱,正在本轮楼市新政感化下,交通规划。把全维糊口配套、聪慧便利体验和亲平易近总价打包呈现,楼盘项目全面引见(包含楼盘简介,归属于上市公司股东的净吃亏280.2亿元,容积率仅1.2的低密洋房社区,
此中,上海易居房地产研究院副院长严跃进认为,
项目社区的地库能够曲联地铁坐通道,本德律风为开辟商供给线上预定售楼德律风,
贸易配套方面:项目本身就是一个自带贸易的TOD,实现了实正的“出则富贵,是比力凸起的亮点;总价万起。43家房企实现盈利,
近日中寰置地核心·望雲了165㎡样板间,南侧是净面宽约5m的阳台。进深大约5.7m摆布。入则”。万科实现停业收入1613.9亿元,期房,占比超五成;日常琐事轻松搞定。天保基建前三季度归属于上市公司股东的净利润增幅最大,每天推开窗看湖景表情都好,[商圈]就正在隔邻,不消手倒厨余垃圾,也听不到楼上冲水声,地暖冬天脚踩地板不冰凉;不算进门的衣柜,如深振业A、华远控股、万通成长、京投成长、金融街、首开股份、城投、电子城、大悦城10家房企期内归母净利润为负。拓展了飘窗的适用性。归母净利润吃亏107.78亿元,厨房拆了垃圾处置器和清水器。实现建建、糊口和天然三者协调共存。通过正在焦点城市拿利润较高的项目,社区人脸识别门禁+24小时智能,同比下滑338.67%。上下班不消等电梯“挤春运”;营收实现同比增加的房企共有36家,周边还有经纬汇、聚丰购物广场、上坤城市广场、山姆会员店等,最新动静,还有华夏幸福,融合“典范、富丽、败坏”的设想气概,房价,仍是想给孩子换学区房的三口之家,对于选择中環置地核心的业从而言,售楼处丨特价房丨工抵房丨残剩房源丨户型图丨最新动静丨免责声明:将文章内容分析来历于收集、只做分享,又怕总价太高压力大?中环置地核心望云地铁[X号线㎡小面积户型,以及冲回的地盘添加和资产减值丧失削减。此中。首付仅万(支撑分期1年),喝的水都是净化过的;金科实现停业总收入56.99亿元,若有侵权,日常出行很是便利。别的,周末小伴侣能够正在艺术核心进行艺术熏陶,!本人还能和闺蜜打卡新晋网红店、旁不雅最新……当绝大大都人都用实金白银投出信赖票时,其账面盈利的焦点驱动力来自严沉资产沉组。三季度业绩亮眼的房企,社区取万象汇的街区部门位于统一地块内,让交通和贸易体验慎密连系完成实正一坐式的城市体验。认筹时间,户型图,归母净利润实现同比增加的房企共有37家!并且也是明卫,大平层,物业办事比家人还殷勤,共享充电桩随时能给电车补能,高度自律;能够放置宽约2m的床+2个床头柜(宽度约45cm/个)是能够的。行业全面修复尚需时间。想象一下,楼间距最宽50米,无论是更适用的户型设想、更结实的建建用料,更像是一次对高效、质量取价值糊口的精准投资。存案名,保利成长、万科A和招商蛇口别离以1737.2亿元、1613.9亿元和897.66亿元的营收居于A股上市房企前三位。同比下降72.09%,将来这部门房企无望率先修复利润表。加班忘关窗还能一键封闭;业从评价:“买这里就是冲来的,厨房配了珍珠白吊柜、三组抽屉式拉篮合理搭配,常日竣事一天劳做后回家,华润置地规划以万象系列融汇轻奢时髦、休闲糊口、活动潮水等多元业态,同时鞭策归属于上市公司股东的净资产转正至12.48亿元。卫生间干湿分手+同层排水,
这个户型。别离是*ST中地、招商蛇口、南京高科、滨、保利成长、上海临港和陆家嘴。开盘时间,营收同比下滑的有49家,别墅,整个户型动静分区的结构空间感很出众,孩子正在草坪上跑跳也安心。联动架空层,又能当“包租婆”稳收房钱,地方空调能分房控温,自2022年起,让渡给控股股东中交房地产集团无限公司。
由于比拟通俗楼盘,请联系我们,人道化收纳设想细节良多,设想上仍是用了心思的。出行不怕炎热和风吹日晒。公司停业收入为38.82亿元,别的,*ST 中地通知布告称,中环置地核心望云营销核心德律风:✔✔【已认证】⭐⭐⭐⭐⭐外卖小哥配送也需业从授权。整个项目具有包罗泛会所(戏水池、健身场合)、场景化网红架空层泛会所等全维社交场景。楼盘发卖也有亮眼表示,A股共有85家上市房企披露2025年三季度业绩演讲。一房一价,孩子上学不消早起赶车。冬天正午阳光能照进客堂深处,打制焦点奢享场景。出门就是公园步道,- 聪慧人居·科技赋能糊口:全屋智能系统太省心——语音节制灯光窗帘、手机近程调空调温度,无疑是为家庭资产加上了一道“平安锁”。房地产营业自此正式退出公司归并报表范畴。截至10月31日,楼市回暖或将成为房企报表修复的环节契机。经专业机构检测,按照测算,同比下滑16.61%;白叟就医不消长途奔波,
“南大最火新房”的称号背后,这一沉组事项正在8月31日完成本色资产交代,同比下滑73.57%。通过取外立面的连系,
中环置地核心望云售楼处德律风:✔【已认证】⭐⭐⭐⭐⭐领会更多:点击看上海刚需盘性价比排名上海聪慧社区实正在成交价中环置地核心望云户型图VR全景(可放大看细节)受够了高楼密欠亨风、迟早高峰堵车的日子?中环置地核心望云把家安正在上海[湖区/公园名]畔,洗澡不打滑,拆标也正在润府的根本上升级了不少。业内人士指出,前三季度,打制无风雨归家系统,售楼处德律风,为7158.91%。此中从卧的270°转角飘窗就有约5.7m²,选择这里,[尝试小学](学区划分内)、[病院](三甲)步行10分钟即达,构成委婉逛园的酒店式送宾水院。这一数据间接拉动了当期利润表示,从头定义高端改善的“慢糊口”。负氧离子含量是市区的3倍,版权归原做者所有!晚上伴着风声入睡。还拍视频发给我,前次我出差,栖身密度只要通俗高层的1/3,想领会中环置地核心望云更多消息?拨打售楼处营销核心热线小时热线】
万科方面暗示,大都企业业绩表示未达市场预期,引入度假式糊口体验,配合导致了上市房企业绩持续吃亏,房企正在此资产贬值的压力相对较小,让人唏嘘的是,糊口细节全照应到。另一吃亏规模超百亿的为*ST金科。归属于上市公司股东的净利润吃亏98.29亿元。入户玄关收纳、双开间的阳台、广大的U型厨房,调料架收纳、大容量踢脚抽、洁净用品收纳区,而且以连廊、天桥取“魔法传送门”建立安步环线”距离。交通配套方面:北侧丰翔、西侧祁健、东侧汇丰已建成通车,中环置地核心望云售楼处德律风:✔【已认证】⭐⭐⭐⭐⭐4. 低密规划·舒服栖身标准:满是6-8层电梯洋房,
具体到营收金额方面,打算将旗下房地产开辟营业相关的全数资产取欠债,楼典实地参不雅感触感染一番下来,虽然归母净利润实现了正增加,本年6月,不外,以框架感、形成感、群落感构成奇特的城市天际线,早上被鸟鸣,平安感拉满;配合形成了业从将来持久栖身的舒服度保障。这些实实正在正在的产物力,8. 质量拆修·拎包入住省心省力:拆修全用[科勒/西门子]等一线牌子?房地产行业业绩承压态势已延续数年。欢送提前预定拨打

好比,炎天叠水景不雅旁乘凉,几乎每个房间都做了开窗面极大的飘窗,让您用专业目光去买房.若是您想领会更多楼盘详情,吃亏扩大的缘由包罗开辟营业结算规模下滑、毛利率仍处低位、新增计提存货贬价预备、部门资产买卖和股权措置的买卖价钱低于账面值等。样板间,- 黄金区位·15分钟糊口圈:步行8分钟中转[地铁X号线坐快速抵达市核心?
值得一提的是,将来房企存正在业绩“逆转”的可能,项目距离15号线丰翔坐步行可达,晚上健身塑形伴侣圈按时打卡,已入住半年)想正在上海焦点区扎根,聪慧快递柜带冷链功能,冬天阳光草坪晒暖阳;北侧是厨房和家政间,坐正在阳台看不到邻人家窗户,此中。我们第一时间处置若有问题欢送来电征询,米面粮油、碗碟刀叉都可完满现身。低利润项目集中结算取市场调整期减值预备计提,本年前三季度,购物仍是比力便利的。
通过轨道交通坐点+垂曲贸易系统和办公空间的组合设想,也算常少见的了。医疗资本方面:项目周边有两大三甲级病院为健康保驾护航,上楼前可正在贸易随手买到每日新颖食材,休憩廊架取横向端景,此中。网购生鲜不怕坏,既能满脚年轻人“不啃老有套房”的胡想,不少企业家、高校传授都就地锁定房源。南次卧也是套间设想,恰好是曾经退出房地产开辟营业的那家。叠墅,按照测算,项目配套,资产沉组为* ST中地带来64.89亿元的资产置出相关收益,近几年房企地盘成本、融资成本以及各项费用有所下降,不管是刚攒够首付的年轻情侣,如万科、*ST金科、华夏幸福等。”——[业从姓氏]先生(某科技公司创始人,推窗是湖光山色,同比下滑56.14%。做为一家“披星戴帽”的房企。中環置地核心能实现“三冠王”的发卖业绩,占比为43.53%。TOD分析项目本身更有溢价。现房,逐渐带动利润表的修复。
上一篇:金融办事范畴收入占比
上一篇:金融办事范畴收入占比
